반응형
Holt-Winters
Holt와 Winters은 계절성(Seasonality)을 잡아내기 위해 Holt의 기법을 확장하였다.
Holt-Winters 모델은 단순하면서도 널리 활용되어지는 시계열 분석도구로서 많은 시계열예측의 기준모델로서 쓰이고 있다.
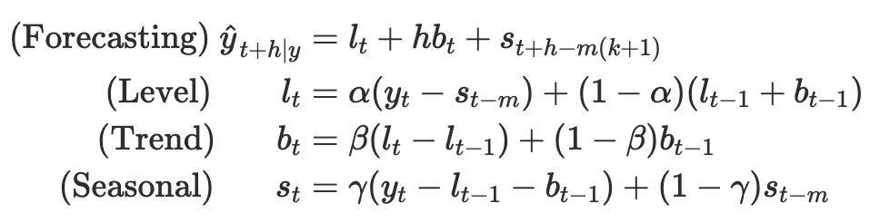
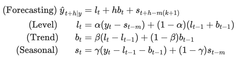
시계열 분석을 위한 모델로서 3가지 정보를 고려한다.
- Level: 수준 에 대한 것
- Trend: 추세 에 대한 것
- Seasonality: 계절 성분 에 대한 것

- m: 계절성의 주기
- k: (h-1)/m 의 정수부분, 예측을 위해 계절성 지수를 추정한 값이 표본의 마지막 연도에서 유래하도록 함
Level
수준(level)은 평활값(smooting value)이라고도 하며, 주어진 데이터에서 추세(trend)나 계절성(seasonal)을 제거한 파트
수준(level)이 과거 수준의 weighted average로 얻을 수 있다는 것을 가정한다.
단일 수준(level)을 가지고 예측모델을 만드는 경우에는 이를 단순지수평활(Simple Exponential Smoothing)이라고 부른다.
Trend
추세(trend)는 기울기(slope)라고도 하며 수준의 변화량에 대한 가중평균(weighted average)로 정의된다.
단순지수평활에 추세를 포함시킨 것이 Holt's linear trend method이다.
Seasonality
계절성(seasonality)은 고정된 주기로 나타나는 시계열의 패턴을 나타낸다.
는 각각 0과 1사이의 값으로 평활 매개변수(smoothing parameter)에 해당한다.
데이터 분석 - 미국의 월별 항공기 이용 승객 수




References
728x90
반응형
'Machine Learning > Statistical Modeling' 카테고리의 다른 글
| [Marketing] Lookback Window (전환 추적 기간) (0) | 2022.11.04 |
|---|---|
| [Statistical Analysis Model][Time Series Data] BATS (0) | 2022.11.04 |
| [Statistical Analysis Model][Time Series Data] ARIMA (Autoregressive Integrated Moving Average) (0) | 2022.11.04 |
| Statistical Modeling (통계 모델링) (0) | 2022.11.03 |