반응형
Data Pre-Processing
Normalization
- 데이터의 스케일이 다른 경우 출력에 영향이 달라질 수 있다
- 데이터의 특성에 따라 normalization 방식을 선택해야 한다.
MinMax

일정범위(일반적으로 0~1) 사이로 scaling 함
실제 데이터의 범위가 테스트 데이터의 min max 범위를 벗어나는 경우
학습이 제대로 되지 않을 수 있다.
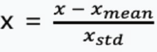
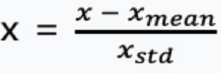
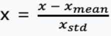
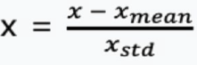
Standard

mean 차감을 통해 zero-centered화 해주고 std로 나누어 주어
데이터가 일정 범위안에 머무르게 함
Data Division
Data 구축 시 유의할 점
- 노이즈 데이터
- class 불균형
- 현장과 다른 상황
- 모집단을 제대로 표현하지 못한 표본 집단 데이터
- 잘못된 정답 표기(오류 라벨링)
728x90
반응형
'Machine Learning > Machine Learning' 카테고리의 다른 글
| [Machine Learning] ML Hyperparameter (0) | 2021.03.05 |
|---|---|
| [Machine Learning] Regularization (0) | 2021.03.04 |
| [Machine Learning] One-Hot Encoding (0) | 2021.03.03 |
| Machine Learning (0) | 2021.02.27 |
| [Machine Learning] Artificial Intelligence (인공지능) (0) | 2021.02.26 |